合作客户/
拜耳公司 |
同济大学 |
联合大学 |
美国保洁 |
美国强生 |
瑞士罗氏 |
相关新闻Info
推荐新闻Info
-
> Wilhelmy吊板法测试温度、铝元素和稀土元素对锌浴表面张力的影响
> 基于表面张力系数等模拟液滴撞击热壁面的动力学行为(二)
> 基于表面张力系数等模拟液滴撞击热壁面的动力学行为(一)
> 10种常用表面活性剂水溶液的表面张力测定、泡沫的产生和测试(三)
> 10种常用表面活性剂水溶液的表面张力测定、泡沫的产生和测试(二)
> 10种常用表面活性剂水溶液的表面张力测定、泡沫的产生和测试(一)
> 双链乳糖酰胺季铵盐表面活性剂物化性能、应用性能及复配性能研究
> ABA型聚醚改性有机硅表面活性剂在不同溶剂中的泡沫性能的相关性
> 什么是榴莲视频污网站下载?榴莲视频污网站下载用在什么地方
> 表面能和表面张力关系,如何降低表面张力
去乙酰化槐糖脂生物表面活性剂的结构鉴定、理化性质及应用(二)
来源:应用化学 浏览 135 次 发布时间:2025-02-13
1实验部分
1.1仪器和试剂
1290 HPLC-Bruker Maxis Q-TOF型高效液相色谱-高分辨串联质谱联用仪(HPLC-MS/MS,美国Agilent公司);LC-WB-4型磁力搅拌水浴锅(上海力辰邦西仪器科技有限公司);JZ-200A型自动界面张力仪(芬兰Kibron公司);Foamscan型全自动泡沫分析仪(法国Teclis公司)。
SLs产品:野生型菌株生产的SLs产品是以葡萄糖和油酸为底物,经发酵后自然沉淀得到系列同系物,大部分具有乙酰基,简称为“乙酰化SLs”;去乙酰化菌株生产的SLs产品是以葡萄糖和油酸为底物,经发酵后使用乙醇萃取,在55℃减压去除乙醇溶剂后得到,简称为“去乙酰化SLs”。
乙酸乙酯、无水乙醇、硫酸、甲酸、无水碳酸钠、连二硫酸钠、无水氯化钙、氯化钠和液体石蜡均为分析纯试剂,氢氧化钠和硫化钠为化学纯试剂,以上试剂均购自国药集团化学试剂有限公司;松节油和棉籽油为分析纯试剂,购自上海迈瑞尔生化科技有限公司。
1.2乙酰化SLs和去乙酰化SLs同系物的结构鉴定
HPLC-MS/MS的色谱柱为Waters ACQUITY UPLC BEH130 C18 2.1 mm×150 mm×1.7μm。实验条件:流动相A:0.1%甲酸、1%乙腈水溶液;流动相B:0.1%甲酸乙腈;流速为0.2 mL/min;等度洗脱条件为:80%B。柱温:30℃,进样量:1μL,UV检测波长:207 nm,无分流进入质谱。质谱:电喷雾正离子模式;扫描范围m/z 200~1000;毛细管电压:4.5 kV;喷雾气压1.03×104 Pa;干燥气(N2)流速:6 L/min;气体温度:180℃;分辨率:50000。
1.3理化性能测试方法
1.3.1溶解性、浊点和耐酸碱性
溶解度测定:量取100 mL去离子水于烧杯中,逐步加入溶质其中至恰好饱和,计算浓度。浊点的测定参考GB/T 5559-2010。耐酸碱性检测方法参考GB/T 5555-2003和GB/T 5556-2003,抗硬水性测试参考GB/T 7381-2010。
1.3.2表面性能
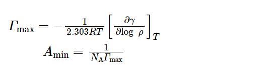
通过铂环法在室温下进行表面张力测定,参考GB/T 5549-2010。绘制出表面张力-浓度对数(γ-lg c)曲线。使用公式(1)和(2)对饱和吸附量(Гmax)和单个分子占据最小表面积(Amin)进行计算。
式中,Гmax是饱和吸附量(μmol/m2);γ为表面张力(mN/m);R为摩尔气体常数(8.314 J/(mol·K));T为热力学温度(K);ρ为表面活性剂的质量浓度(mg/L);(∂γ/∂logρ)T是表面张力与浓度对数关系曲线的斜率;Amin是单个分子占有的最小表面积(nm2);NA为阿伏伽德罗常数(6.022×1023/mol)。
1.3.3亲水-亲油平衡值
采用乳化法来测定HLB值,即通过观测样品对确定HLB值的混合植物油的乳化稳定性来评价样品的HLB值。具体方法为:使用松节油(HLB值为16)和棉籽油(HLB值为6)配制一系列不同HLB值的油相,每19份油相中加入80份水和1份待测样品,搅拌乳化,稳定10 min后读取乳化层高度,乳化层高度最高的试样中对应油相的HLB值即为待测试样的HLB值。
1.3.4泡沫性能
使用泡沫分析仪通过多孔介质向400 mL待测液体(1 g/L)内注入气体而产生泡沫,记录2种SLs起泡后稳定30 s和5 min的泡沫量,使用公式(3)计算2种SLs的泡沫稳定性:
式中,Sfoam为泡沫稳定性,V5 min为静置5 min后的泡沫体积(mL),V30 s为静置30 s后的泡沫体积(mL)。为了对比分析SLs在不同盐度(S)下的泡沫性能,在氯化钠质量浓度为0、10、100、200、400、600、800和1000 mg/L的溶液中测定30 s泡沫量,方法同上。
1.3.5乳化性能
取40 mL待测溶液(1 g/L)、40 mL液体石蜡,加入到100 mL具塞量筒中,剧烈摇动后开始计时,记录分出10 mL水相所用时间。





